前不久结束的波士顿马拉松在暴风雨中落下帷幕,史上难得一见的恶劣天气让不少人头疼不已,甚至有选手说自己仿佛在奔跑在洗衣机里。
不少跑者会针对一场重要的比赛设置非常缜密的训练计划,一环套一环,错过一堂训练课似乎都可能影响整个大局。然而有时候,当你全副武装开心地出门跑步时发现,嗯,下雨了!!
大弦嘈嘈,小弦切切,无论哪个时节,下雨天气都是跑步训练中难以避免的。
常在雨中跑,如何才能淋得少?

小编询问了路人甲,他的回答是——拼命跑。
“大风越吹,我心越荡,大雨越下,我跑越快。”
显然,这种做法并不科学。
那么,我们从科学的角度来看看理工男的答案:
迷之角度倾斜法
果壳网作者 physixfan曾为广大网友计算过雨中跑淋得最少的姿势。
(人道主义提示:请文科生直接翻到答案页)
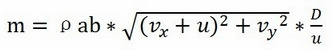
首先,为了简化计算,我们近似的认为人体是个长方体,长 a 宽 b 高 h。假设雨滴匀速下落,水平速度 vx(vx可正可负),竖直速度 vy。设跑步速度为 u(如图1)。
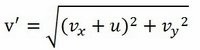
在地面上看,雨滴也在动,人也在动,看起来并不直观,于是我们切换到人参考系。在人参考系中,人是静止的,而雨滴的速度变为:竖直方向 vy,水平方向 vx(如图2)。
如此一来,人应该以怎样的角度跑就显而易见了:在人参考系内,尽量让自己的身体和雨下落方向保持平行就可以了(如图3)。

因为这样的角度可以保证只有头顶受雨淋,身体的其他侧面不会迎面撞上雨以及被雨打上。
容易算出身体的倾角 α = arctan [ vy / (vx+u) ]。
m = ρV = ρab * v’* t
代入 v’的具体表达式:
所以
于是我们剩下的任务便是求出上式的极小值。学过高数的人都知道用求导的方法就能算出来,具体细节这里就不写了。
于是可以得出最后的结论:
相信你也没有看懂!

没关系,机智的小编又为大家众筹了几种方法:
跑友 甜茶不加奶:装备 装备 装备
跑友甜茶不加奶总结了“常在雨天跑,如何淋雨少”的装备指南。大到跑鞋、帽子的选择,小到水泡贴、润滑剂。比按照α = arctan[ vy / (vx+u) ] 的角度倾斜法更易操作。
跑鞋:“铁三鞋和雨跑更配噢”
各路跑友表示铁三鞋与“雨跑”更配哦,因为比起gore-tex等防水材料的越野跑鞋来说它更轻更透气,并具备很强的排水性,材料选用更多的网布材料,大底也会有一些排水孔设计,抓地性也强,内衬舒适度也会更强。
只是对于初级跑友来说还是可以考虑一些具有防水功能性跑鞋,例如具有Gore-Tex和event材质的跑鞋也是相当可以的。

袜子
请买一双好的运动速干袜子,可以选择速干五指袜,减少脚趾之间的摩擦,减小气泡的概率,还可以选择透气又保暖的羊毛袜。
帽子+运动眼镜
对于帽子可以选择空顶帽或鸭舌帽,若雨较大可以考虑防水材质的鸭舌帽,只是一定要注意视线范围的把握。
另外运动眼镜的话,最好选防雾防水功能强的,如果不是则可以不考虑眼镜。对于近视跑友来说首先可以考虑带隐形眼睛,其次可以考虑对你的框架眼睛进行一些防雾处理,例如用肥皂水、凡士林或防水喷雾浸泡涂抹都是不错的方法。

紧身、速干、防水类衣物装备
对于长距离跑来说,为解决皮肤摩擦问题,选择紧身类衣物显得尤为重要,再加上速干则可以最大化交换和湿气最大化的排出。由于雨水的侵蚀,或多或少会影响身体的舒适度,对于初级跑友以及不太追求成绩的选手还是应该考虑防水这一因素的。并且衣物上应有荧光物质或较亮颜色,避免能见度低造成的安全问题。

水泡贴和润滑剂
对于长距离雨跑来说胶质(凝胶)或是纱布类材质的水泡贴是必不可少的。多涂一些润滑剂则可以有效的减小摩擦,特别是凡士林,还具有防寒防水的作用,多抹点一定不会错。

不扯淡小提示:
1、建议选择视线良好的地点进行雨跑,不建议在夜里雨跑,特别是陌生的场地。
2、免疫系统没被跑步强化过的跑友(跑龄不足一年)不建议尝试雨跑,跑步会短时间削弱你的免疫系统,容易感冒,来年跑得多了再玩。
3、如果条件允许,尽快换下湿衣服,擦干身体,喝热水,避免着凉。很多跑友因为雨跑很爽,或者跑完很热,以为身体的热量很快就能把衣服腾干,但是其实人体这个时候的免疫系统是被削弱了的,很容易着凉感冒。
4、手机。一般的运动手表防水性还是没问题的,建议大家选择一些具备防水功能的手机。
原创文章,作者:admin,如若转载,请注明出处:https://iranshao.com/4708.html